When search works, teams move faster - here’s how we build it at DevRev
6 min read
—
Collaboration breaks down fast when you can’t find the right information. An engineer searching for a bug fix, a product manager digging through release notes, a customer success rep looking for past issues and if the answer is buried, teamwork stalls.
That’s why search isn’t just an add-on at DevRev, it’s a core part of how we help developers and customers collaborate.
Here’s how we built it: hybrid retrieval, smart evaluation, and reranking for relevance.
Recently, we gave you a peek behind the curtain in a livestream showcasing the technology that drives our search engine. If you missed the live discussion with Prateek Jain, you can catch the replay here.
The best of both worlds: Embracing hybrid search
One of the foundations of our search strategy is hybrid search, which combines traditional keyword-based search with semantic search that understands meaning. Each method is useful on its own but limited when isolated. Together, they create a stronger experience.
Why this matters: You have probably seen both in action. When you know the exact phrase, such as API v3 fixes, keyword search gives you the direct hit. When you only know the idea, like issues uploading files, semantic search can surface “attachment errors” or “document upload failures” even if the wording does not match. Hybrid search brings both together so you get accuracy and flexibility in one place.
Beyond DevRev: This pattern is becoming common across industries. E-commerce platforms combine exact product names with intent recognition, such as “comfortable shoes for running.” Enterprise tools use it to find specific IDs while also catching natural queries like “design doc for scaling storage.” The direction is clear: search that enables real collaboration needs both methods working together.

Decoding meaning: Semantic indexing of data
To power our semantic search capabilities, we employ sophisticated techniques for semantic indexing. Our system breaks down articles and other data into meaningful chunks and creates vector embeddings – numerical representations that capture the semantic essence of the text. These embeddings are then stored in a vector database, allowing us to quickly find semantically similar content.
Why this matters: Traditional indexing relies on keywords. Semantic indexing, on the other hand, allows the search engine to “understand” the underlying concepts and relationships between words. This means that even if a user’s query doesn’t contain the exact keywords present in a document, the system can still identify it as relevant based on its meaning. Imagine searching for “problems with file uploads” and finding articles discussing “issues encountered while attaching documents” – that’s the power of semantic indexing.
Connection to the field: The rise of powerful language models and vector databases has democratized semantic search. This technology is no longer confined to research labs; it’s being integrated into a wide range of applications, from recommendation systems that understand user preferences based on content they’ve interacted with, to question-answering systems that can understand the intent behind a question and retrieve relevant information from large knowledge bases.

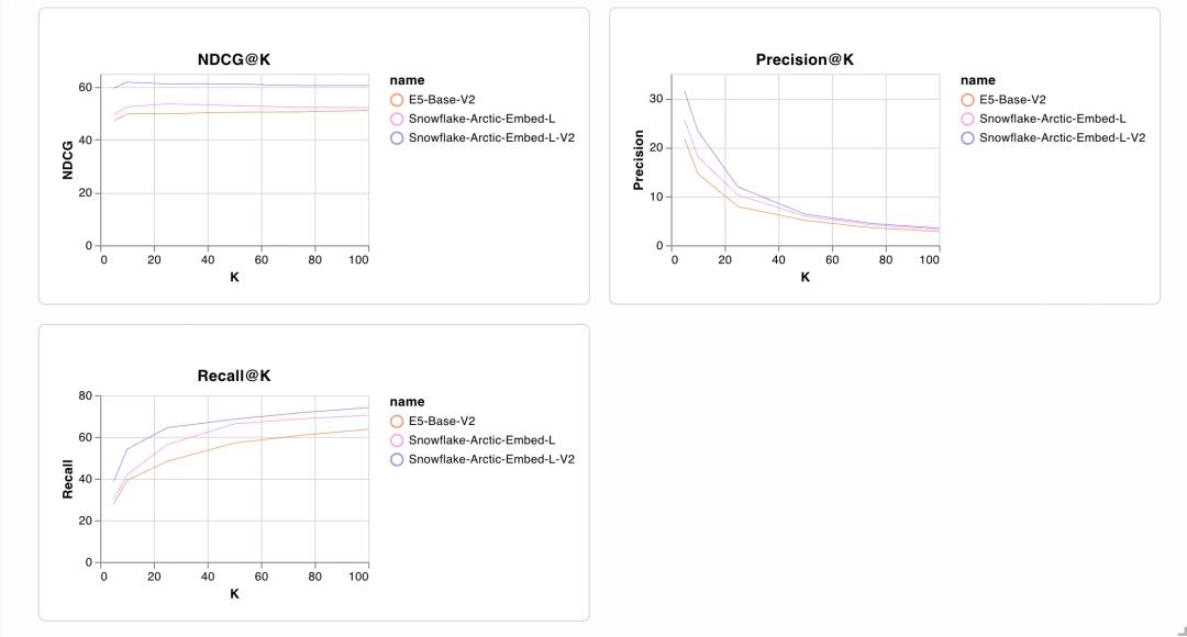
Measuring success: Performance evaluation
At DevRev, we do not just launch a search feature and assume it works. We measure it carefully through performance evaluation. To do this, we rely on metrics such as recall at K, precision at K, and NDCG at K, which help us understand if our search is delivering the right results in the right order.
Why this matters: In a collaborative setting, speed and accuracy matter equally. We need to know: are we surfacing all the relevant information (recall)? Are we avoiding clutter by only showing results that truly match the intent (precision)? And are the most useful answers ranked at the top, where people naturally click first (NDCG)? Getting these right means less wasted time and smoother workflows across teams.
Beyond DevRev: The broader AI and information retrieval community is also moving in this direction. Relying on gut feel or basic keyword counts is no longer enough. Robust, quantitative metrics are becoming the standard for improving systems that people depend on every day, whether for search, recommendations, or question answering. The focus has shifted to outcomes that actually improve the end-user experience.

Refining relevance with the reranker
A key step in delivering highly relevant search results at DevRev is our reranker. After hybrid search collects a set of possible matches, the reranker reorders them based on a deeper understanding of the query and the context in which it was asked.
Why this matters: The first stage of search is about casting a wide net. The reranker fine-tunes that list, ensuring that the most useful results rise to the top. It considers factors like a user’s recent activity, the context of their current task in DevRev, and subtle language signals that might have been missed in the initial pass. In practice, this means that when Prateek searched for similar issues, the ones he had personally worked on appeared higher in his results, making his workflow faster and smoother.
Beyond DevRev: Reranking has become a common technique in modern search systems. By applying a more detailed model to a smaller, pre-filtered set of results, platforms can boost quality without sacrificing speed. This two-stage approach is efficient, and more importantly, it ensures that the information people need most is what they see first.



App demo
When two nearly identical issues exist, one assigned to the searcher and another to a teammate, the reranker prioritizes the issue owned by the searcher. This shows how contextual personalization ensures that results most relevant to the individual appear first, making the search experience faster and more useful.
The journey continues
Search is never finished. At DevRev, we keep improving by experimenting with new techniques, refining our models, and listening closely to how people actually use the product. Our focus stays consistent: build a search experience that feels fast, intuitive, and genuinely helpful for collaboration.
By combining hybrid retrieval, semantic awareness, and rigorous evaluation, we are shaping a system that surfaces the right information at the right moment. And as advances in AI continue, we will keep adapting so that developers and teams spend less time searching and more time building together.
Stay tuned for more insights into the technology powering DevRev, and how we are pushing search forward to better serve the people who rely on it every day.
To dive deeper, check out DevRev Live: watch past episodes on our YouTube playlist and subscribe to our YouTube channel for upcoming livestreams.
Related Articles

Patrick van de Werken

Vishal Narendar

Neelabja Adkuloo

Rik Van Bruggen
Computer+ Apps
Our customers
Initiatives

